找回密码
 立即注册
首页 业界区 安全 深度学习激活函数:从原理到选型

深度学习激活函数:从原理到选型

挺喽蹂 2025-10-1 17:23:17
深度学习激活函数:从原理到选型

1. 引言:激活函数的根本作用

在构建神经网络时,我们习惯性地在层与层之间添加激活函数,但其根本作用是什么?简而言之,激活函数是为网络引入非线性表达能力的核心组件。
如果一个深度神经网络完全由线性层(如全连接层、卷积层)堆叠而成,而没有非线性激活,那么无论网络有多少层,其本质上都等价于一个单层的线性模型。这是因为一系列线性变换的复合结果依然是一个线性变换,这样的网络无法学习和拟合复杂的数据模式。激活函数的引入,打破了这种线性局限,使得网络能够逼近任意复杂的函数,从而真正具备强大的学习能力。
本文将遵循激活函数的发展脉络,从经典到前沿,系统性地梳理其核心原理、关键特性及在不同架构下的选型策略,为你提供一份清晰的实践指南。
2. 经典激活函数:早期探索与固有局限

2.1 Sigmoid

1.jpeg

Sigmoid函数是早期神经网络中最常用的激活函数之一,它能将任意实数输入压缩到 (0, 1) 的区间内。

  • 公式:
    \[f(x) = \frac{1}{1 + e^{-x}}\]
  • 定位: 将输出映射为概率值。
  • 核心场景:

    • 二分类任务输出层: 其 (0, 1) 的输出范围天然契合了二分类问题中“是”或“否”的概率表示。
    • 循环神经网络(RNN/LSTM)门控单元: 在LSTM或GRU中,Sigmoid被用来作为“门”的开关,其0到1的输出值决定了信息流动的比例。

  • 问题:

    • 梯度消失(Vanishing Gradients): 当输入值过大或过小时,Sigmoid函数的导数(梯度)趋近于0。在深层网络中,这会导致反向传播时梯度逐层衰减,最终使得靠近输入层的网络参数难以更新。
    • 输出非零中心: 其输出恒为正,破坏了数据的零中心性,可能导致后续层在梯度下降时出现“Z”字形抖动,影响收敛速度。

2.2 Tanh (双曲正切)

2.png

Tanh可以看作是Sigmoid函数的“零中心化”改进版,它将输入压缩到 (-1, 1) 区间。

  • 公式:
    \[f(x) = \frac{e^x - e^{-x}}{e^x + e^{-x}}\]
  • 定位: 解决了Sigmoid的非零中心问题。
  • 核心场景: 在ReLU流行之前,常被用于RNN或多层感知机的隐藏层。由于其输出均值为0,通常比Sigmoid函数具有更快的收敛速度。
  • 问题: 梯度饱和问题依然存在。当输入过大或过小时,其导数同样趋近于0,梯度消失的风险并未完全消除。
3. ReLU家族:现代神经网络的基石

3.1 ReLU (Rectified Linear Unit)

3.png

ReLU的出现是深度学习发展的一个重要里程碑,它以其惊人的简洁性和高效性,迅速成为绝大多数现代神经网络的默认选择。

  • 公式:
    \[f(x) = \max(0, x)\]
  • 定位: 现代深度学习的标准、默认激活函数。
  • 核心场景: 几乎所有类型的深度神经网络隐藏层,包括卷积神经网络(CNN)、深度神经网络(DNN)等。
  • 优势:

    • 极大缓解梯度消失: 当输入为正时,其导数恒为1,这使得梯度能够顺畅地在网络中传播。
    • 计算高效: 仅涉及一个简单的阈值判断,计算成本远低于Sigmoid或Tanh。
    • 稀疏性: 能使部分神经元的输出为0,引入了网络的稀疏性,这在一定程度上起到了正则化的作用。

  • 风险:

    • 神经元死亡(Dying ReLU): 如果一个神经元的输入在训练过程中始终为负,那么它的梯度将永远为0,导致该神经元的参数无法再被更新。

3.2 Leaky ReLU & PReLU

4.png

为了解决ReLU的“神经元死亡”问题,研究者们提出了一系列改进方案。

  • 公式:

    • Leaky ReLU: \(f(x) = \max(\alpha x, x)\),其中 \(\alpha\) 是一个很小的常数,如0.01。
    • PReLU (Parametric ReLU): 与Leaky ReLU类似,但 \(\alpha\) 是一个可学习的参数。

  • 定位: ReLU的直接修复方案,旨在解决负区间的梯度中断问题。
  • 核心场景: 当怀疑模型存在大量死亡神经元,或希望进一步压榨模型性能时,可作为ReLU的替代品。通过在负区间引入一个微小的非零梯度,它们保证了信息流动的畅通。
4. 前沿激活函数:追求更优的平滑非线性

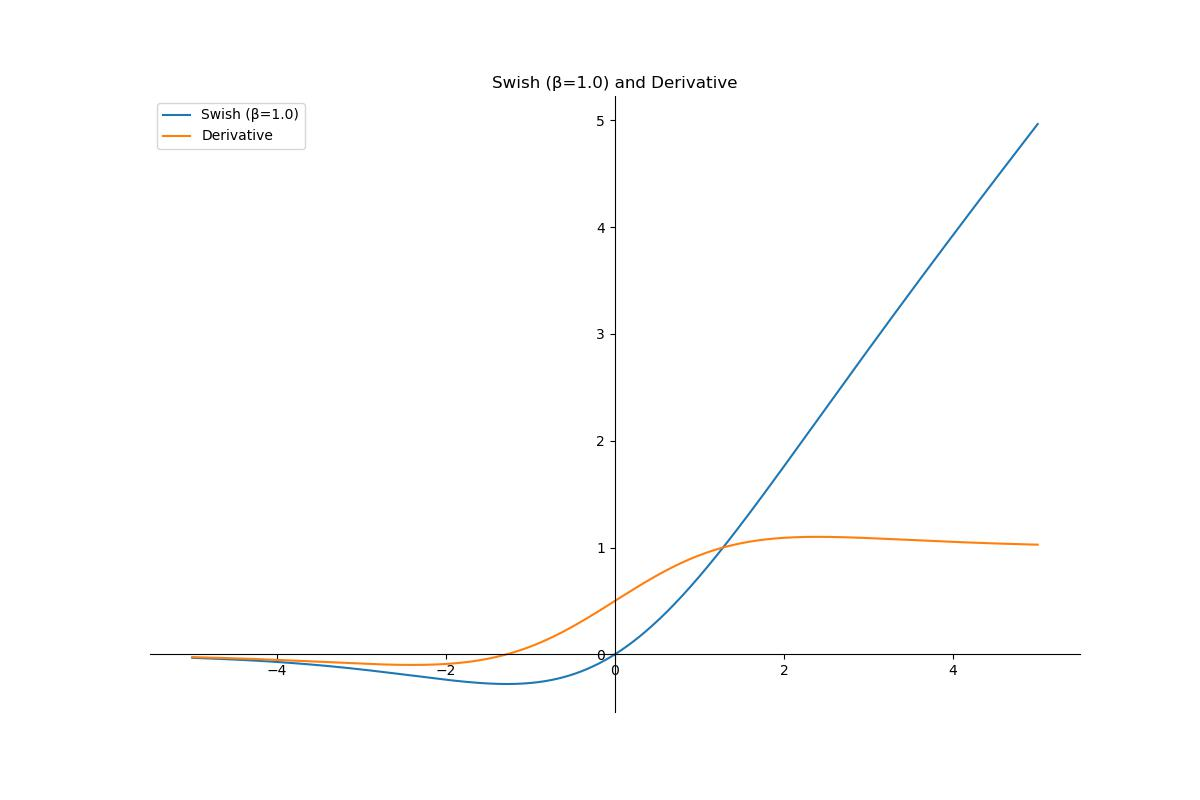
4.1 Swish (SiLU)

5.png

Swish(后来在PyTorch中被命名为SiLU)是一种自门控(self-gated)激活函数,其性能在多种任务上稳定优于ReLU。

  • 公式:
    \[f(x) = x \cdot \sigma(x) = \frac{x}{1 + e^{-x}}\]
  • 定位: ReLU的强力平滑替代品,尤其在计算机视觉领域。
  • 核心场景: 广泛应用于现代CNN架构,如 EfficientNetYOLOv7+ 等。
  • 为什么有效:

    • 平滑非单调: Swish的曲线是平滑的,并且在负值区域有一个小的“凹陷”,这种非单调性被认为增强了其表达能力。
    • 自门控: 函数中的 \(\sigma(x)\) 部分可以看作一个软性的“门”,决定了输入 \(x\) 有多大比例可以通过。
    • 无上界有下界: 避免了梯度饱和,同时负区间的抑制效果也起到了正则化的作用。

4.2 GELU (Gaussian Error Linear Unit)

6.png

GELU是大型语言模型(LLM)时代的标准配置,它将非线性激活与随机正则化的思想巧妙地结合起来。

  • 公式:
    \[f(x) = x \cdot \Phi(x)\]
    其中 \(\Phi(x)\) 是标准高斯分布的累积分布函数(CDF)。它通常使用一个高效的近似计算:
    \[f(x) \approx 0.5x \left(1 + \tanh\left[\sqrt{2/\pi}(x + 0.044715x^3)\right]\right)\]
  • 定位: Transformer架构的钦定激活函数。
  • 核心场景: BERTGPT 系列等所有主流Transformer模型的前馈网络(FFN)层。
  • 为什么有效: GELU可以被看作是Swish的一种平滑近似。它的形式可以理解为:一个神经元的输出是其输入 \(x\) 与一个服从伯努利分布的随机掩码的乘积,而这个掩码的概率由输入 \(x\) 本身决定(输入越大,被保留的概率越高)。这种依赖于输入的自适应随机性,被证实极度适合深层、复杂的Transformer模型,有助于提升训练稳定性和模型性能。
5. 输出层激活函数:任务的最后一公里

5.1 Softmax

Softmax不常用于隐藏层,它专为多分类问题设计,用于将网络的原始输出(logits)转换为一个概率分布。

  • 公式:
    \[f(x_i) = \frac{e^{x_i}}{\sum_{j=1}^{N} e^{x_j}}\]
  • 定位: 将logits向量转换为多类别上的概率分布。
  • 核心场景: 多分类模型的输出层。它能确保所有输出类别的概率之和为1,完美契合“从多个互斥选项中选择一个”的任务目标。
6. 总结与工程选型指南

为了方便快速查阅和决策,下表总结了各激活函数的关键特性:
激活函数公式核心优势核心劣势主要应用场景Sigmoid\(\frac{1}{1 + e^{-x}}\)输出为(0,1),符合概率直觉梯度消失、非零中心二分类输出层、RNN门控Tanh\(\frac{e^x - e^{-x}}{e^x + e^{-x}}\)输出为(-1,1),零中心梯度消失(旧)RNN隐藏层ReLU\(\max(0, x)\)计算高效、缓解梯度消失神经元死亡默认选择,CNN/DNN隐藏层Leaky ReLU\(\max(\alpha x, x)\)解决神经元死亡问题性能提升不总稳定ReLU备选方案Swish/SiLU\(x \cdot \sigma(x)\)平滑、性能优于ReLU计算稍复杂现代CNN架构(如EfficientNet)GELU\(x \cdot \Phi(x)\)训练稳定、性能优越计算稍复杂Transformer架构(BERT, GPT)Softmax\(\frac{e^{x_i}}{\sum_{j} e^{x_j}}\)输出为概率分布,和为1仅用于输出层多分类输出层选型黄金法则:

在实际工程中,可以遵循以下简洁的决策路径:

  • 通用起点: 无特殊理由时,直接从 ReLU 开始。它在绝大多数场景下都表现稳健且高效。
  • CNN架构优化: 在构建现代卷积网络时,强烈建议将 Swish/SiLU 作为ReLU的替代品,它通常能带来免费的性能提升。
  • Transformer架构: 如果你正在使用或构建基于Transformer的模型,无需犹豫,直接采用 GELU
  • 输出层: 根据任务类型选择——二分类用 Sigmoid,多分类用 Softmax
  • 问题排查: 当怀疑模型因ReLU遭受严重的神经元死亡问题时,可以尝试使用 Leaky ReLU 来诊断或修复。
图片引用:汀、人工智能

来源:程序园用户自行投稿发布,如果侵权,请联系站长删除
免责声明:如果侵犯了您的权益,请联系站长,我们会及时删除侵权内容,谢谢合作!

相关推荐

您需要登录后才可以回帖 登录 | 立即注册