找回密码
 立即注册
首页 业界区 安全 图像擦除论文综述-1:PixelHacker、PowerPanint等 ...

图像擦除论文综述-1:PixelHacker、PowerPanint等

后仲舒 2025-9-25 11:00:26
更加好的排版:https://www.big-yellow-j.top/posts/2025/06/11/ImageEraser1.html
本文主要介绍几篇图像擦除论文模型:PixelHacker、PowerPanint等,并且实际测试模型的表现效果
PixelHacker

Code: https://github.com/hustvl/PixelHacker
1.webp

模型整体框架和Diffusion Model相似,输入分为3部分:1、image;2、mask;3、mask image而后将这三部分进行拼接,然后通过VAE进行encoder,除此之外类似Diffusion Model中处理,将condition替换为mask内容(这部分作者分为两类:1、foreground(116种类别);2、background(21种类别))作为condition(对于foreground直接通过编码处理,对于background的3部分通过:\(M_{scene}+M_{rand}P_{rand}+M_{obj}P_{obj}\) 分别对于background的3部分)然后输入到注意力计算中。
2.webp

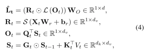
注意力计算过程,对于通过VAE编码后的内容\(L_{in}\) 直接通过 \(LW\) 计算得到QKV,并且通过 2D遗忘矩阵 \(G_t\)计算过程为:

\[G_t = \alpha_t^T \beta_t \in \mathbb{R}^{d_k \times d_v},\alpha_t = \sigma(\text{Lin}_{\alpha} W_\alpha + b_\alpha)^{\frac{1}{2}} \in \mathbb{R}^{L \times d_k},\beta_t = \sigma(\text{Lin}_{\beta} W_\beta + b_\beta)^{\frac{1}{2}} \in \mathbb{R}^{L \times d_v},\]
\(L_t\)计算过程:
3.webp

4.webp

PixelHacker实际测试效果

图像mask结果问题
5.webp
6.webp
7.webp
背景文字细节丢失
8.webp
9.webp
10.webp
人物细节
11.webp
12.webp
13.webp
生成错误分析:只能生成较低分辨率图像(512x512,Github),去除过程中对于复杂的图像可能导致细节(背景中的文字、图像任务)处理不好。
PowerPanint

A Task is Worth One Word: Learning with Task Prompts for High-Quality Versatile Image Inpainting
From: https://github.com/open-mmlab/PowerPaint
Modle:SD v1.5、CLIP
14.webp

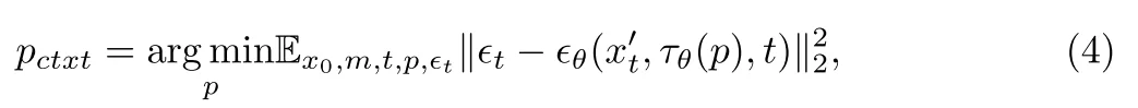
模型整体结构和DF模型相同,输入模型内容为:噪声的潜在分布、mask图像(\(x \bigodot (1-m)\))、mask;在论文中将condition替换为4部分组合(微调两部分:\(P_{obj}\) 以及 \(P_{ctxt}\)):1、\(P_{obj}\)
1、增强上下文的模型感知:使用随机mask训练模型并对其进行优化以重建原始图像可获得最佳效果,通过使用\(P_{ctxt}\)(可学习的)让模型学会如何根据图像的上下文信息来填充缺失的部分,而不是依赖于文本描述,优化过程为:
15.webp

2、通过文本增强模型消除:通过使用\(P_{obj}\):训练过程和上面公式相同,不过将识别得到的物体bbox作为图像mask并且将 \(P_{obj}\)作为mask区域的文本描述,引导模型根据给定的文本描述生成对应的对象。
第1和第2点区别在于,第二点输入有文本描述,而第一点就是可学习的文本
3、物品移除:使用移除过程中模型很容易进入一个“误解”:模型是新生成一个内容贴在需要消除的内容位置而不是消除内容(比如下面结果),作者的做法是直接将上面两个进行加权:
16.webp

4、通过形状增强模型消除:\(P_{shape}\):使用精确的对象分割mask和对象描述进行训练,不过这样会使得模型过拟合(输入文本和选定的区域,可能模型只考虑选定区域内容生成),因此替换做法是:直接对精确识别得到内容通过 膨胀操作让他没那么精确,具体处理操作为:
17.webp

于此同时参考上面过程还是进行加权组合
18.webp

PowerPanint实际测试效果

只测试 Object removal inpainting,测试的权重:ppt-v1
图像mask结果测试
19.webp
20.webp
21.webp
部分移除
22.webp
23.png
24.png
全部移除
25.jpeg
26.png
27.png
复杂布局全部移除
28.jpeg
29.png
30.png
复杂布局细小内容移除
31.jpeg
32.png
33.png
多目标内容移除
34.jpeg
35.png
36.png
多目标内容移除总的来说:PowerPanint还是比较优秀的消除模型,总体移除效果“说得过去”(如果不去追求消除的细节,见下面图像,比如说消除带来的图像被扭曲等)不过得到最后的图像的尺寸会被修改(in:2250x1500 out:960x640,此部分没有仔细去检查源代码是否可以取消或者自定义),除此之外,参考Github上提出的issue-1:图像 resize 了,修改了分辨率,VAE 对人脸的重建有损失,如果mask没有完全覆盖掉人,留了一些边缘,模型有bias容易重建生成出新的东西。issue-2:平均推理速度20s A100 GPU。
37.png

Improving Text-guided Object Inpainting with Semantic Pre-inpainting

From: https://github.com/Nnn-s/CATdiffusion.
没有提供权重无法测试
38.png

由于DDM生成过程中是不可控的,本文提出通过text来提高模型可控。相比较之前研究(直接将图片通过VAE处理输入DF中,并且将文本作为条件进行输入),最开始得到的latent space和text feature之间存在“信息不对齐”。在该文中“提前”将text feature输入到模型中。具体做法是:

  • 首先通过CLIP来对齐特征信息
将image通过clip image encoder进行编码得到特征而后通过SemInpainter:同时结合可学习的位置信息(PE)、可学习的mask图像特征(ME)、文本特征,整个过程为:
39.png

其中:SemInpainter(和CLIP的image encoder相似结构)根据视觉上下文和文本提示c的条件下,恢复CLIP空间中mask对象的ground-truth语义特征,说人话就是通过知识蒸馏方式来训练这个模块参数。对于两部分特征最后通过下采样方式得到最后特征:
40.png


  • **reference adapter layer (RefAdapter) **
41.png

总结

简单终结上面几篇论文,基本出发思路都是基于Stable diffusion Moddel然后通过修改Condition方式:无论为是CLip编码文本嵌入还是clip编码图像嵌入。不过值得留意几个点:1、对于mask内容可以用“非规则”(类似对mask内容进行膨胀处理)的方式输入到模型中来提高能力。2、在图像擦除中容易出现几个小问题:图像替换问题(理论上是擦除图像但是实际被其他图像给“替换”)、图像模糊问题(擦除图像之后可能会在图像上加一个“马赛克”,擦除区域模糊)对于这两类问题可以参考论文。
进一步阅读: 1、https://arxiv.org/pdf/2504.00996;2、RAD: Region-Aware Diffusion Models for Image Inpainting

来源:程序园用户自行投稿发布,如果侵权,请联系站长删除
免责声明:如果侵犯了您的权益,请联系站长,我们会及时删除侵权内容,谢谢合作!

相关推荐

3 天前

举报

感谢分享,学习下。
您需要登录后才可以回帖 登录 | 立即注册