找回密码
 立即注册
首页 业界区 业界 归并排序力扣题(leetcode)

归并排序力扣题(leetcode)

矛赓宁 昨天 19:00
归并排序力扣题(leetcode)

23. 合并 K 个升序链表

难度:困难
相关标签:链表、分治、堆(优先队列)、归并排序
题目:

给你一个链表数组,每个链表都已经按升序排列。
请你将所有链表合并到一个升序链表中,返回合并后的链表。
示例 1:
  1. 输入:lists = [[1,4,5],[1,3,4],[2,6]]
  2. 输出:[1,1,2,3,4,4,5,6]
  3. 解释:链表数组如下:
  4. [
  5.   1->4->5,
  6.   1->3->4,
  7.   2->6
  8. ]
  9. 将它们合并到一个有序链表中得到。
  10. 1->1->2->3->4->4->5->6
复制代码
示例 2:
  1. 输入:lists = []
  2. 输出:[]
复制代码
示例 3:
  1. 输入:lists = [[]]
  2. 输出:[]
复制代码
提示:
<ul>\(k == lists.length\)
\(0 next;        }        if(left != nullptr)  curPtr->next = left;        if(right != nullptr)  curPtr->next = right;        // 返回排序后的链表头        return newNodePtr->next;    }    // 分治归并    ListNode* merge(vector& lists, int l, int r)    {        if(l == r)  return lists[l];        if(l > r)  return nullptr;        int mid = (l+r)/2;        ListNode* left = merge(lists, l, mid);        ListNode* right = merge(lists, mid+1, r);        return mergeList(left, right);    }    // 主函数入口    ListNode* mergeKLists(vector& lists)     {        if(lists.empty())  return nullptr;        return merge(lists, 0, lists.size()-1);    }};[/code]相似题目

合并两个有序链表简单
丑数 II中等
按位或最大的最小子数组长度中等
148. 排序链表

难度:中等
相关标签:链表、双指针、分治、排序、归并排序
题目:

给你链表的头结点 head ,请将其按 升序 排列并返回 排序后的链表
示例 1:
1.jpeg
  1. /**
  2. * Definition for singly-linked list.
  3. * struct ListNode {
  4. *     int val;
  5. *     ListNode *next;
  6. *     ListNode() : val(0), next(nullptr) {}
  7. *     ListNode(int x) : val(x), next(nullptr) {}
  8. *     ListNode(int x, ListNode *next) : val(x), next(nullptr) {}
  9. * };
  10. */
  11. class Solution
  12. {
  13. public:
  14.     ListNode* mergeList(ListNode* left, ListNode* right)
  15.     {
  16.         // 虚拟头节点
  17.         ListNode* newNodePtr = new ListNode(-1);
  18.         ListNode* curPtr = newNodePtr;
  19.         // 双指针归并(和数组归并逻辑完全一致)
  20.         while(left != nullptr && right != nullptr)
  21.         {
  22.             if(left->val <= right->val)  
  23.             {
  24.                 curPtr->next = left;
  25.                 left = left->next;
  26.             }
  27.             else
  28.             {
  29.                 curPtr->next = right;
  30.                 right = right->next;
  31.             }
  32.             curPtr = curPtr->next;
  33.         }
  34.         if(left != nullptr)  curPtr->next = left;
  35.         if(right != nullptr)  curPtr->next = right;
  36.         // 返回排序后的链表头
  37.         return newNodePtr->next;
  38.     }
  39.     // 分治归并
  40.     ListNode* merge(vector<ListNode*>& lists, int l, int r)
  41.     {
  42.         if(l == r)  return lists[l];
  43.         if(l > r)  return nullptr;
  44.         int mid = (l+r)/2;
  45.         ListNode* left = merge(lists, l, mid);
  46.         ListNode* right = merge(lists, mid+1, r);
  47.         return mergeList(left, right);
  48.     }
  49.     // 主函数入口
  50.     ListNode* mergeKLists(vector<ListNode*>& lists)
  51.     {
  52.         if(lists.empty())  return nullptr;
  53.         return merge(lists, 0, lists.size()-1);
  54.     }
  55. };
复制代码
示例 2:
2.jpeg
  1. 输入:head = [4,2,1,3]
  2. 输出:[1,2,3,4]
复制代码
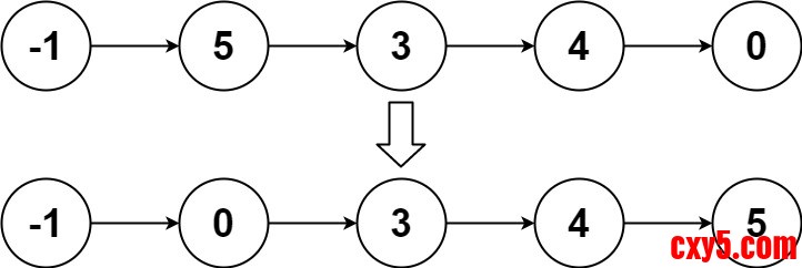
示例 3:
  1. 输入:head = [-1,5,3,4,0]
  2. 输出:[-1,0,3,4,5]
复制代码
提示:
<ul>链表中节点的数目在范围 $[0, 5 * 10^4] $内
\(-10^5 > 1;        merge_sort(q, l, mid);        merge_sort(q, mid + 1, r);        int i = l, j = mid + 1, k = 0;        while (i

相关推荐

您需要登录后才可以回帖 登录 | 立即注册