登录
/
注册
首页
论坛
其它
首页
科技
业界
安全
程序
广播
Follow
关于
导读
排行榜
资讯
发帖说明
登录
/
注册
账号
自动登录
找回密码
密码
登录
立即注册
搜索
搜索
关闭
CSDN热搜
程序园
精品问答
技术交流
资源下载
本版
帖子
用户
软件
问答
教程
代码
写记录
写博客
小组
VIP申请
VIP网盘
网盘
联系我们
发帖说明
道具
勋章
任务
淘帖
动态
分享
留言板
导读
设置
我的收藏
退出
腾讯QQ
微信登录
1
2
/ 2 页
下一页
返回列表
首页
›
业界区
›
安全
›
【OpenGL ES】光栅化插值原理和射线拾取原理 ...
【OpenGL ES】光栅化插值原理和射线拾取原理
[ 复制链接 ]
羔迪
2025-10-8 18:20:22
猛犸象科技工作室:
网站开发,备案域名,渗透,服务器出租,DDOS/CC攻击,TG加粉引流
1 前言
最近在推导光栅化插值公式和射线拾取公式,发现计算过程中有很多共同点,因此将它们放在一篇文章里介绍。具体共同点如下。
都引入了四面体模型
都以四面体的三条边作为基向量构建坐标系(非直角坐标系)
都需要求解射线向量在基向量上的坐标
2 光栅化插值原理
光栅化要解决的问题:如下图,已知三角形的三个顶点的坐标及其他属性(如颜色、纹理坐标、法线向量、切线向量、副切线向量等),对于三角形内任意一点,若已知其坐标,求该点的颜色、纹理坐标等属性的值。
进一步细化问题:如下图,O 点是坐标原点,已知 A、B、C、Q 4 个点的坐标,假设 Q = x · A + y · B + z · C,求 x 、y、z 的值。
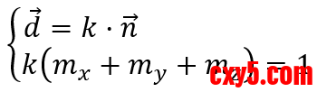
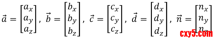
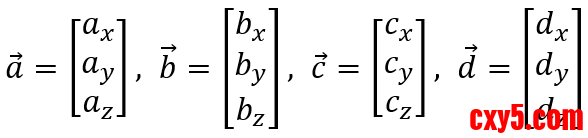
定义向量如下。
向量 d 可以用向量 a、b、c 线性表示如下。
使用矩阵表示如下。
求解向量 m 如下。
说明如下:
向量 m 的几何含义是:若以向量 a、b、c 为坐标轴建立坐标系(非直角坐标系),向量 m 表示向量 d 在该坐标系下的坐标。
由于 Q 点在 ΔABC 的内部,因此
mx + my + mz = 1
,并且
mx >= 0、my >= 0、mz >= 0
(第一象限)。
如果
mx = my = mz = 1 / 3
,则 Q 点一定是
ΔABC 的重心
。
为简化计算,可以使用以下数学工具。
对于线性方程组 A·x=b,根据克拉默法则可以求解:xi = |Bi| / |A|,其中 Bi 是将矩阵 A 的第 i 列替换为 b 向量后的矩阵。
假设 3x3 矩阵 A 由 a、b、c 三个列向量组成,则 |A| = a x b · c。
2 射线拾取原理
参考:直线与三角形相交Moller Trumbore算法推导。
如下图,已知 A、B、C、P 4 个点的坐标,向量 n 是由 P 点发射的单位方向向量,Q 点是向量 n 与 ΔABC 的交点,求 Q 点坐标。由于 Q = P + d,因此本节只求向量 d 的坐标。
定义向量如下。
向量 n 可以用向量 a、b、c 线性表示如下。
使用矩阵表示如下。
求解向量 m 如下。
如果 mx、my、mz 中有一个为负数,说明交点 Q 一定在 ΔABC 外部;如果 mx + my + mz = 0,说明向量 m 与 ΔABC 平行。
由于向量 d 与向量 a 线性相关,并且 Q 点在 ΔABC上,可以得出以下方程,求解后即可得到向量 d 的坐标。
声明:本文转自【OpenGL ES】光栅化插值原理和射线拾取原理。
来源:程序园用户自行投稿发布,如果侵权,请联系站长删除
免责声明:如果侵犯了您的权益,请联系站长,我们会及时删除侵权内容,谢谢合作!
原理
OpenGL
ES
光栅
插值
相关帖子
【节点】[Texture2DArrayAsset节点]原理解析与实际应用
【节点】[SplitTextureTransform节点]原理解析与实际应用
【节点】[SplitTextureTransform节点]原理解析与实际应用
【节点】[SplitTextureTransform节点]原理解析与实际应用
【节点】[Texture2DAsset节点]原理解析与实际应用
【节点】[Texture3DAsset节点]原理解析与实际应用
【节点】[Absolute节点]原理解析与实际应用
【节点】[Exponential节点]原理解析与实际应用
【节点】[Length节点]原理解析与实际应用
【节点】[Log节点]原理解析与实际应用
回复
使用道具
举报
提升卡
置顶卡
沉默卡
喧嚣卡
变色卡
千斤顶
照妖镜
相关推荐
安全
【节点】[Texture2DArrayAsset节点]原理解析与实际应用
0
673
幌斛者
2026-03-26
安全
【节点】[SplitTextureTransform节点]原理解析与实际应用
0
618
枢覆引
2026-03-27
安全
【节点】[SplitTextureTransform节点]原理解析与实际应用
2
550
数察啜
2026-03-27
安全
【节点】[SplitTextureTransform节点]原理解析与实际应用
0
906
上官银柳
2026-03-27
安全
【节点】[Texture2DAsset节点]原理解析与实际应用
1
399
袁曼妮
2026-03-27
安全
【节点】[Texture3DAsset节点]原理解析与实际应用
2
125
焦听云
2026-03-28
安全
【节点】[Absolute节点]原理解析与实际应用
0
938
别萧玉
2026-03-30
安全
【节点】[Exponential节点]原理解析与实际应用
0
10
赖珊
2026-03-31
安全
【节点】[Length节点]原理解析与实际应用
3
426
煅汾付
2026-04-01
安全
【节点】[Log节点]原理解析与实际应用
0
462
凉砧掌
2026-04-02
回复
(25)
柏雅云
2025-10-12 14:57:07
回复
使用道具
举报
照妖镜
猛犸象科技工作室:
网站开发,备案域名,渗透,服务器出租,DDOS/CC攻击,TG加粉引流
感谢,下载保存了
梳踟希
2026-1-18 18:06:08
回复
使用道具
举报
照妖镜
程序园永久vip申请,无限下载程序园所有程序/软件/数据/等
热心回复!
晦险忿
2026-1-20 17:52:24
回复
使用道具
举报
照妖镜
猛犸象科技工作室:
网站开发,备案域名,渗透,服务器出租,DDOS/CC攻击,TG加粉引流
很好很强大 我过来先占个楼 待编辑
饨篦
2026-1-22 14:26:24
回复
使用道具
举报
照妖镜
猛犸象科技工作室:
网站开发,备案域名,渗透,服务器出租,DDOS/CC攻击,TG加粉引流
很好很强大 我过来先占个楼 待编辑
倡粤
2026-1-23 17:35:49
回复
使用道具
举报
照妖镜
程序园永久vip申请,无限下载程序园所有程序/软件/数据/等
这个好,看起来很实用
郦珠雨
2026-1-25 12:12:42
回复
使用道具
举报
照妖镜
程序园永久vip申请,无限下载程序园所有程序/软件/数据/等
热心回复!
丘娅楠
2026-1-25 12:22:03
回复
使用道具
举报
照妖镜
程序园永久vip申请,无限下载程序园所有程序/软件/数据/等
yyds。多谢分享
东郭欣然
2026-1-26 11:33:02
回复
使用道具
举报
照妖镜
程序园永久vip申请,无限下载程序园所有程序/软件/数据/等
谢谢分享,试用一下
巨耗
2026-2-5 07:55:55
回复
使用道具
举报
照妖镜
程序园永久vip申请,无限下载程序园所有程序/软件/数据/等
感谢,下载保存了
扫恢怯
2026-2-7 22:48:02
回复
使用道具
举报
照妖镜
程序园永久vip申请,无限下载程序园所有程序/软件/数据/等
用心讨论,共获提升!
院儿饯
2026-2-10 02:23:32
回复
使用道具
举报
照妖镜
猛犸象科技工作室:
网站开发,备案域名,渗透,服务器出租,DDOS/CC攻击,TG加粉引流
不错,里面软件多更新就更好了
判涔
2026-2-11 17:23:32
回复
使用道具
举报
照妖镜
猛犸象科技工作室:
网站开发,备案域名,渗透,服务器出租,DDOS/CC攻击,TG加粉引流
感谢分享,下载保存了,貌似很强大
靳谷雪
2026-2-11 21:11:33
回复
使用道具
举报
照妖镜
猛犸象科技工作室:
网站开发,备案域名,渗透,服务器出租,DDOS/CC攻击,TG加粉引流
用心讨论,共获提升!
杜优瑗
2026-2-12 07:50:37
回复
使用道具
举报
照妖镜
程序园永久vip申请,无限下载程序园所有程序/软件/数据/等
懂技术并乐意极积无私分享的人越来越少。珍惜
搜娲瘠
2026-2-13 06:31:30
回复
使用道具
举报
照妖镜
程序园永久vip申请,无限下载程序园所有程序/软件/数据/等
不错,里面软件多更新就更好了
饮邺谲
2026-2-13 17:37:23
回复
使用道具
举报
照妖镜
程序园永久vip申请,无限下载程序园所有程序/软件/数据/等
不错,里面软件多更新就更好了
冷晓晴
2026-2-17 12:48:58
回复
使用道具
举报
照妖镜
程序园永久vip申请,无限下载程序园所有程序/软件/数据/等
过来提前占个楼
厨浴
2026-2-21 02:28:10
回复
使用道具
举报
照妖镜
猛犸象科技工作室:
网站开发,备案域名,渗透,服务器出租,DDOS/CC攻击,TG加粉引流
yyds。多谢分享
港髁
2026-2-21 04:01:14
回复
使用道具
举报
照妖镜
猛犸象科技工作室:
网站开发,备案域名,渗透,服务器出租,DDOS/CC攻击,TG加粉引流
感谢分享,下载保存了,貌似很强大
下一页 »
1
2
/ 2 页
下一页
高级模式
B
Color
Image
Link
Quote
Code
Smilies
您需要登录后才可以回帖
登录
|
立即注册
回复
本版积分规则
回帖并转播
回帖后跳转到最后一页
签约作者
程序园优秀签约作者
发帖
羔迪
2026-2-21 04:01:14
关注
0
粉丝关注
16
主题发布
板块介绍填写区域,请于后台编辑
财富榜{圆}
3934307807
991125
anyue1937
9994892
kk14977
6845359
4
xiangqian
638210
5
神泱
9528
6
韶又彤
9910
7
荪俗
9018
8
宋子
9874
9
蓬森莉
9870
10
俞瑛瑶
10000
查看更多
今日好文热榜
686
Fedora 43物理机部署复盘
434
读2025世界前沿技术发展报告31海洋防务
542
Python变量作用域与命名空间详解:从LEGB到
120
AI 输出 Token 优化:文言文极简模式的实践
248
龙芯2k0300 - 走马观碑组编码器驱动移植
913
AI元人文:大儒家观
435
【赵渝强老师】崖山数据库的还原数据
426
pgbouncer连接池设置与压力测试的最大连接
672
pgbouncer连接池设置与压力测试的最大连接
892
.NET 8 性能优化实战:让你的应用起飞
303
鱼皮 AI 导航网站,突然起飞了!
930
网页端3D编程小实验-一种多人自走棋游戏原
740
pgbouncer连接池设置与压力测试的最大连接
856
基于 Irrlicht 和 WASAPI 的 Simple Audio
559
pgbouncer连接池设置与压力测试的最大连接
688
pgbouncer连接池设置与压力测试的最大连接
590
pgbouncer连接池设置与压力测试的最大连接
542
pgbouncer连接池设置与压力测试的最大连接
478
.NET 8 性能优化实战:让你的应用起飞
542
.NET 8 性能优化实战:让你的应用起飞